Вернуться к содержанию учебника
1. Составь и реши по четыре примера на сложение: с ответом 12, с ответом 16.
2. Составь и реши по четыре примера на вычитание: с ответом 9, с ответом 8.
В нашем справочнике повтори материал о вычитании чисел.
3. Замени суммой двух одинаковых слагаемых каждое число: 8, 10, 12, 14, 16, 18.
Вспомни, как называются числа при сложении.
4. Вычисли суммы.
| 2 + 2 + 2 + 2 + 2 + 2 | 4 + 4 + 4 |
| 3 + 3 + 3 + 3 | 5 + 5 + 5 |
Вспомни, как называются числа при сложении.
Решение
| 2 + 2 + 2 + 2 + 2 + 2 = 12 | 4 + 4 + 4 = 12 |
| 3 + 3 + 3 + 3 = 12 | 5 + 5 + 5 = 15 |
Пояснение
| 2 + 2 + 2 + 2 + 2 + 2 = ? 4 + 2 + 2 + 2 + 2 = ? 6 + 2 + 2 + 2 = ? 8 + 2 + 2 = ? 10 + 2 = 12 | 4 + 4 + 4 = ? 8 + 4 = 12 |
| 3 + 3 + 3 + 3 = ? 6 + 3 + 3 = ? 9 + 3 = 12 | 5 + 5 + 5 = ? 10 + 5 = 15 |
5. 
В нашем справочнике повтори состав числа 10 и числа от 11 до 20.
6. Реши и скажи, сколько всего прибавили или сколько всего вычли.
| 10 - 3 - 4 | 6 + 4 + 5 | 12 - 2 - 7 |
| 10 - 2 - 1 | 7 + 3 + 6 | 13 - 3 - 5 |
Решение
| 10 - 3 - 4 = 3 всего вычли 7 | 6 + 4 + 5 = 15 всего прибавили 9 | 12 - 2 - 7 = 3 всего вычли 9 |
| 10 - 2 - 1 = 7 всего вычли 3 | 7 + 3 + 6 = 16 всего прибавили 9 | 13 - 3 - 5 = 5 всего вычли 8 |
Пояснение
| 10 - 3 - 4 = 3 вычли 3 и 4 всего 7 | 6 + 4 + 5 = 15 прибавили 4 и 5 всего 9 | 12 - 2 - 7 = 3 вычли 2 и 7 всего 9 |
| 10 - 2 - 1 = 7 вычли 2 и 1 всего 3 | 7 + 3 + 6 = 16 прибавили 3 и 6 всего 9 | 13 - 3 - 5 = 5 вычли 3 и 5 всего 8 |
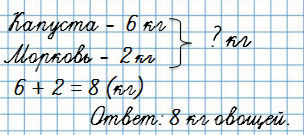
7. Папа купил 6 кг капусты и 2 кг моркови. Сколько всего килограммов овощей ...?
Повтори состав числа 8.
8. Длина первого отрезка 1 дм. Второй отрезок на 10 см длиннее. Поставь вопрос и реши задачу.
В нашем справочнике повтори тему "Длиннее. Короче", не забудь про отрезок.
Решение
Ставим вопрос к задаче: Какова длина второго отрезка?
Решаем задачу:
10 + 10 = 20 (см)
Ответ: длина второго отрезка 20 см или 2 дм.
Пояснение
Можно решить задачу двумя способами.
Способ 1:
1 дм = 10 см
10 см + 10 см = 20 см
Ответ: длина второго отрезка 20 см
Способ 2:
10 см = 1 дм
1 дм + 1 дм = 2 дм
Ответ: длина второго отрезка 2 дм
9. У Оли 3 больших воздушных шара, а маленьких на 4 больше. Сколько всего шаров у Оли?
В нашем справочнике повторите тему "Больше. Меньше" и "На сколько больше?", вспомни состав числа 10.
10.
1) У бабушки две банки: в одну входит 3 л, а в другую — 5 л. Как можно налить в кувшин 4 л молока с помощью этих банок?
2) Как легче взвесить 6 кг картофеля, если есть гири в 5 кг и в 2 кг?
1) У бабушки две банки: в одну входит 3 л, а в другую — 5 л. Как можно налить в кувшин 4 л молока с помощью этих банок?
Решение: Налить молоко в пятилитровую банку, затем отлить 3 л в трёхлитровую банку. В пятилитровой банке останется 2 л. Вылить их в кувшин.
Повторить еще раз. В пятилитровой банке опять останется 2 л. Добавить их в кувшин.
В кувшине получится 4 л молока.
2) Как легче взвесить 6 кг картофеля, если есть гири в 5 кг и в 2 кг?
Решение: Поставить на одну чашу весов гирю в 5 кг. На вторую чашу поставить гирю в 2 кг и картофель. Уравнять чаши весов. На второй чаше получится 3 кг картофеля. Отложить его в миску.
Повторить еще раз. На второй чаше получится ещё 3 кг картофеля. Добавить его в ту же миску.
В миске будет 6 кг картофеля.

Вернуться к содержанию учебника