Вернуться к содержанию учебника
5. Длина дорожки в бассейне 100 м. Коля уже проплыл 60 м. Сколько ещё метров ему осталось проплыть?
1) Рассмотри схематический чертёж и реши задачу.

2) Составь задачу, обратную данной, сделай к ней схематический чертёж и реши её.
Решение
100 - 60 = 40 (м)
Ответ: осталось 40 метров.
Обратная задача:
Длина дорожки в бассейне 100 м. Когда Коля проплыл несколько метров, ему осталось проплыть ещё 40 м. Сколько метров Коля уже проплыл?

100 - 40 = 60 (м)
Ответ: проплыл 60 метров.
Пояснение

Сколько осталось? Из большего числа вычитаю меньшее. Вычитание. Знак минус.
Обратная задача:

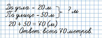
6. Митя решил измерить дорогу от дома до школы. От дома до угла переулка, в котором он жил, получилось 20 м, а по улице - ещё 50 м. Сколько всего метров проходит Митя от дома до школы?
Сделай к задаче схематический чертёж и реши её.
Повтори действия с круглыми числами.
Выберите год учебника
Стр. 39 учебника 2011-2022:
7. Какие фигуры изображены на чертеже? На какие две группы их можно разбить? Найди разные способы.

Стр. 39 учебника 2023-2024:
7. В системе "умный дом" объединили 2 датчика протечки воды, охранную сигнализацию, датчик, извещающий о пожаре, видеокамеру, 6 розеток, чайник и несколько лампочек. Сколько лампочек объединили в систему, если всего в неё вошло 20 устройств?
Стр. 39 учебника 2011-2022:
В нашем справочнике повтори тему "Основы геометрии".
Стр. 39 учебника 2023-2024:
Повтори, как называются числа при вычитании.
Стр. 39 учебника 2011-2022:
Решение
Способ 1:
Первая группа: четырёхугольники (1, 4, 5, 6, 8).
Вторая группа: треугольники (2, 3, 7, 8).
Способ 2:
Первая группа: фигуры розового цвета (1, 4, 5, 7, 9).
Вторая группа: фигуры голубого цвета (2, 3, 6, 8).
Способ 3:
Первая группа: большие фигуры (1, 6, 7, 8).
Вторая группа: маленькие фигуры (2, 3, 5, 4, 9).
Пояснение
| Способ 1: | Способ 2: |
![]() | ![]() |
| Способ 3: | ![]() |
Стр. 39 учебника 2023-2024:
20 - 2 - 1 - 1 - 1 - 1 - 6 - 1 = 7 (л.)
Ответ: 7 лампочек объединили в систему.
Выберите год учебника
Стр. 39 учебника 2011-2022:
Выполни вычисления в тех случаях, где порядок выполнения действий определён верно.

Стр. 39 учебника 2023-2024:
8. Какие фигуры изображены на чертеже? На какие две группы их можно разбить? Найди разные способы.

Стр. 39 учебника 2011-2022:
В нашем справочнике повтори о действиях со скобками.
Стр. 39 учебника 2023-2024:
В нашем справочнике повтори тему "Основы геометрии".
Стр. 39 учебника 2011-2022:
Решение
2) 16 + (20 - 10) = 16 + 10 = 26
3) 45 - (39 + 1 ) = 45 - 40 = 5
Пояснение
1) неправильно расставлен порядок действий, потому что сначала выполняется действие в скобках, а потом всё остальное.
2) действия расставлены верно.
3) действия расставлены верно.
Стр. 39 учебника 2023-2024:
Решение
Способ 1:
Первая группа: четырёхугольники (1, 4, 5, 6, 8).
Вторая группа: треугольники (2, 3, 7, 8).
Способ 2:
Первая группа: фигуры розового цвета (1, 4, 5, 7, 9).
Вторая группа: фигуры голубого цвета (2, 3, 6, 8).
Способ 3:
Первая группа: большие фигуры (1, 6, 7, 8).
Вторая группа: маленькие фигуры (2, 3, 5, 4, 9).
Пояснение
| Способ 1: | Способ 2: |
![]() | ![]() |
| Способ 3: | ![]() |
Выберите год учебника
Стр. 39 учебника 2011-2022:

Стр. 39 учебника 2023-2024:
Выполни вычисления в тех случаях, где порядок выполнения действий определён верно.

Стр. 39 учебника 2011-2022:
Повтори случаи табличного сложения.

Стр. 39 учебника 2023-2024:
В нашем справочнике повтори о действиях со скобками.
Стр. 39 учебника 2011-2022:

Стр. 39 учебника 2023-2024:
Решение
2) 16 + (20 - 10) = 16 + 10 = 26
3) 45 - (39 + 1 ) = 45 - 40 = 5
Пояснение
1) неправильно расставлен порядок действий, потому что сначала выполняется действие в скобках, а потом всё остальное.
2) действия расставлены верно.
3) действия расставлены верно.
Вернуться к содержанию учебника