Номер 33 - ГДЗ Алгебра 7 класс. Мерзляк, Полонский. Учебник. Страница 15

Вернуться к содержанию учебника

Страница 15

30 31 32 33 34 35 36

Вопрос

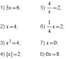
Какие из данных уравнений являются линейными:

Подсказка

Вспомните, какое уравнение называют линейным уравнением.

Ответ


Вернуться к содержанию учебника