Номер 273 - ГДЗ Алгебра 7 класс. Мерзляк, Полонский. Учебник. Страница 55

Вернуться к содержанию учебника

Страница 55

270 271 272 273 274 275 276

Вопрос

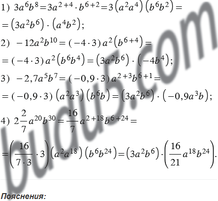
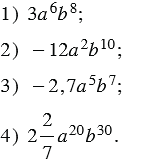
Представьте данное выражение в виде произведения двух одночленов, один из которых равен :

Подсказка

Ответ


Вернуться к содержанию учебника