Номер 644 - ГДЗ Алгебра 7 класс. Мерзляк, Полонский. Учебник. Страница 113

Вернуться к содержанию учебника

Страница 113

641 642 643 644 645 646 647

Вопрос

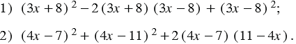
Докажите, что значение выражения не зависит от значения переменной:

Подсказка

Ответ


Вернуться к содержанию учебника