Номер 739 - ГДЗ Алгебра 7 класс. Мерзляк, Полонский. Учебник. Страница 127

Вернуться к содержанию учебника

Страница 127

736 737 738 739 740 741 742

Вопрос

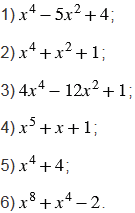
Разложите на множители:

Подсказка

Ответ


Вернуться к содержанию учебника