Номер 789 - ГДЗ Алгебра 7 класс. Мерзляк, Полонский. Учебник. Страница 149

Вернуться к содержанию учебника

Страница 149

786 787 788 789 790 791 792

Вопрос

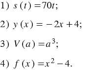
Прочитайте следующую запись, укажите аргумент функции и зависимую переменную:

Подсказка

Ответ


Вернуться к содержанию учебника