Номер 1037 - ГДЗ Алгебра 7 класс. Мерзляк, Полонский. Учебник. Страница 205

Вернуться к содержанию учебника

Страница 205

1034 1035 1036 1037 1038 1039 1040

Вопрос

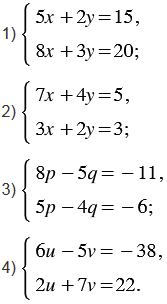
Решите систему уравнений:

Подсказка

Ответ


Вернуться к содержанию учебника