Номер 334 - ГДЗ Алгебра 8 класс. Мерзляк, Полонский. Учебник. Страница 83

Вернуться к содержанию учебника

Упражнения § 10. Страница 83

331 332 333 334 335 336 337

Вопрос

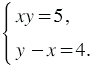
Решите графически систему уравнений

Подсказка

Ответ


Вернуться к содержанию учебника