Номер 3 - ГДЗ Алгебра 8 класс. Мерзляк, Полонский. Учебник. Страница 85

Вернуться к содержанию учебника

Задание №3 "Проверь себя". Страница 85

349 1 2 3 4 5 6

Вопрос

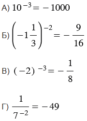
Какое из данных равенств верно?

Подсказка

Ответ

349 1 2 3 4 5 6


Вернуться к содержанию учебника